刘昭岳 岳麓化学
常规上,很难实现二维共价有机框架(2D-COF)的z方向调制,因为它们依赖自发π-π相互作用形成3D架构。近年来,二维共价有机框架(2D-COFs)因其在催化、气体储存/分离、固态电池、传感、光电子以及光电等领域的潜在应用引起了广泛的科学兴趣。通常,2D-COF合成主要由共价键合单层的侧向生长和通过2D层的可控少量的π堆叠而垂直延伸框架。到目前为止,对2D-COF的探索主要依赖于对大小,对称性和构造块链接的调节,它们可以精确地定义共价2D层中的拓扑,组成和有序性。尽管π堆叠在2D COF的形成,稳定性和特性调制中具有重要意义,但仅提出了一些原则来改善或改变重复2D层的垂直堆叠行为。在这种情况下,通过适当的超分子组装系统,特定的客体分子可以通过自下而上的方法“插入”在正常COF结构的共价层之间,从而产生具有z方向可控的分层异质结构的新型插入式COF(Intercalated-COF)。 最近,厦门大学化学化工学院林建斌和张慧君团队报道了通过同步超分子供体-受体(D-A)相互作用,轻松构建在垂直方向上的新型插入共价有机框架(Intercalated-COF)(图1)。这种插入有机框架中的供体是苝,受体是2,5,8,11-四(对甲酰基苯基)-苝二酰亚胺(PDI)。在此插层式COF中,基于PDI的共价二维层被苝客体均匀地隔开。这种超分子策略通过“插入”各种客体分子为2D-COFs的z方向调控开辟了可能性,因此可能有助于探索这些多孔和晶体骨架的高级应用。

稳定的交替叠加排列是成功构建插入COFs的必要前提。作者使用了缺电子且体积庞大的2,5,8,11-四(对甲酰基苯基)-苝二酰亚胺(PDI)1作为一个单元,使用几何形状相似的富电子的苝 3作为D单元和客体,使用了对苯二胺2作为连接剂。由于π表面的大量重叠以及平面分子3的缓冲而引起的不太明显的空间拥挤,交替的1-3堆积的稳定性随着静电吸引而显着提高。因此,1可以在横向方向上与2聚合,并在垂直方向上与3组装成交替的D–A叠层,以实现第一个插层COF,并具有交替的2D晶体(1和2的摩尔比1:2)和插入的客体层。图2. (a)不存在POP 4和在存在D–A相互作用的情况下和(b)插层COF 5的合成的示意图 作者先合成了N,N-双(己基庚基)-2,5,8,11-四(对甲酰基苯基)-PDI 1,研究了1在二甲基乙酰胺(DMAc)中的自组装行为,紫外/可见吸收光谱表明,在DMAc中,相同的PDI环之间的叠加可以忽略不计。 由于π-π堆积相互作用对于COF沿垂直方向生长的重要性,1和连接基2的溶剂热反应仅产生无定形多孔有机聚合物(POP 4),无法形成插入的COF。 作者通过1 H NMR和UV-vis吸收光谱研究证明了1和3之间具有强烈的D–A相互作用,此外,当将1(红色)和3(明黄色)的DMAc溶液混合在一起时,颜色迅速变为深棕色,说明D-A相互作用肉眼可见(图3)。温度为20℃以下时,D-A作用强,当温度上升到35℃时,这种堆积发生解体。图3. 1,1/3(1:1)和3在2:8(v / v)DMF-d7 / DMAc中的1H NMR光谱以及1 、混合物和3的实际颜色。(所有组分的浓度 保持在5 mM)
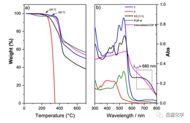
作者在小于35°C温度下,选用最佳的DMAc作为溶剂,在Sc(OTf)3催化剂作用下,使用1、3和2构建了第一个插入式COFs。随后,作者对合成的插入COFs进行了表征。在FT-IR光谱中,亚胺基团的特征谱带出现在1620 cm–1处,−NH2伸缩振动和1的C═O伸缩振动在1698 cm–1处显着衰减,证实成功形成了亚胺键。此外,在770 cm-1中有5个芳香环的平面弯曲振动中分配给CH的峰类似于1-3 CT复合物的峰,这进一步支持了3D网络中的D–A相互作用。5的CP / MAS 13C NMR光谱显示了158 ppm处亚胺碳的特征共振峰,进一步支持了亚胺键的形成。5的元素分析结果与预期的化学式非常吻合。热重分析(TGA)表明插层-COF样品中的苝分子与纯3以及1:1的1和3的混合物相比都具有更高的升华温度,这表明插层的苝在测试过程中更稳定(图5(a))。场发射扫描电子显微镜显示5个具有相似的颗粒形状,其中4个具有更大的尺寸。5和4的BET表面积分别确定为16和9 m2 g–1。该结果表明5和4的内部空间被1的柔性燕尾烷基链完全占据。 作者在不存在或存在苝3的情况下监测了1和2的原位反应过程,对插层COF形成过程进行了进一步了解(图4)。在1的溶液中加入催化剂Sc(OTf)3和2当量的2立即产生沉淀。除了沉淀,溶液的NMR光谱还表明反应物1和2被快速,完全消耗掉,从而在溶液中产生亚胺产物(1–24)。将沉淀物过滤并用盐酸水解以进行NMR分析,这表明形成了无定形产物(1–22)n。在存在3(等于1)的情况下,1和2之间的缩合变慢得多,这可能是因为D–A堆中的醛比自由堆中的醛受空间位阻更大且电子不足。在很长一段时间内,两个交替的D–A堆栈1–3和(1–24)–3在溶液中以一定量共存,并且这两个堆栈中的1与3的比例保持为1:1,表示1与3的比例在结晶的嵌入COF中也为1:1。因此,D–A堆具有更多的时间重组为最佳构型以实现高结晶度。更重要的是,随着生长单元附着在晶格上,晶体性质可以为更多的堆叠提供驱动力,从而促进反应直至完成。图4. 30°C 下,1(5 mM),2(10 mM)和Sc(OTf)3(1.6 mM)在不存在和存在3(5 mM)的情况下在2:8(v / v)的DMF-d7 / DMAc溶液中的1H NMR光谱 (CH2Br2:1 mM) 最后,作者对这种插入COFs进行了紫外可见吸收测试。通过这种独特的结构,对这些样品的固态进行了漫反射紫外可见测量,以提取可靠的光吸收曲线(图5b)。A0-0 / A0-1的比率为1(1.1)和POP 4(1.1)表示4中的PDI环之间没有增强的堆积。相反,对于5,两个PDI吸收最大值均较宽,而A0减小 观察到–0 / A0-1比率和新的强近红外光吸收(图5b)。观察到插入式COF 5的CT谱带,对应于PDI环的荧光导致电荷转移引起的猝灭。图5. (a)TGA曲线和(b)1、3、1 / 3(1:1),POP 4和插层COF 5的漫反射紫外可见吸收光谱 综上,基于超分子策略,作者设计并构建了第一个D-A型插入COF,其具有交替的基于PDI的共价2D层和p苝客体层。通过使用空间庞大的2,5,8,11-四(对甲酰基苯基)-苝二酰亚胺1和富含电子的p苝作为A,可以减少通常导致分离的D-A排列的相同π-表面之间的强同聚体相互作用。 通过NMR对反应过程进行原位监测表明,D–A叠层的形成对插入COF的结晶有利。除了可以对正常2D-COF进行z方向调制之外,这种超分子策略还提供了一种原子精确的自下而上方法,可用于定义明确的具有多种结构单元的坚固异质结构。